Расчетный расход сетевой воды на систему отопления (т/ч), присоединенную по зависимой схеме, можно определить по формуле:
Формула 1. Расчетный расход сетевой воды на СО

где Qо.р.- расчетная нагрузка на систему отопления, Гкал/ч;
τ1.р.- температура воды в подающем трубопроводе тепловой сети при расчетной температуре наружного воздуха для проектирования отопления, ° С;
τ2.р.- температура воды в обратном трубопроводе системы отопления при расчетной температуре наружного воздуха для проектирования отопления, °С;
Расчетный расход воды в системе отопления определяется из выражения:
Формула 2. Расчетный расход воды в системе отопления

τ3.р.- температура воды в подающем трубопроводе системы отопления при расчетной температуре наружного воздуха для проектирования отопления, ° С;
Относительный расход сетевой воды Gотн. на систему отопления:
Формула 3. Относительный расход сетевой воды на СО

где Gc.- текущее значение сетевого расхода на систему отопления, т/ч.
Относительный расход тепла Qотн. на систему отопления:
Формула 4. Относительный расход тепла на СО

где Qо.- текущее значение расхода теплоты на систему отопления, Гкал/ч
где Qо.р.- расчетное значение расхода теплоты на систему отопления, Гкал/ч
Расчетный расход теплоносителя в системе отопления присоединенной по независимой схеме:
Формула 5. Расчетный расход на СО по независимой схеме

где: t1.р, t2.р.- расчетная температура нагреваемого теплоносителя (второй контур) соответственно на выходе и входе в теплообменный аппарат, ºС;
Расчетный расход теплоносителя в системе вентиляции определяется по формуле:
Формула 6. Расчетный расход на СВ

где: Qв.р.- расчетная нагрузка на систему вентиляции Гкал/ч;
τ2.в.р.- расчетная температура сетевой воды после калорифера системы вентиляции, ºС.
Расчетный расход теплоносителя на систему горячего водоснабжения (ГВС) для открытых систем теплоснабжения определяется по формуле:
Формула 7. Расчетный расход на открытые системы ГВС

![]() | Внимание | |||||||
|---|---|---|---|---|---|---|---|---|
|
В наладочном расчете для закрытых схем ГВС, нагрузка определяется как значение поля Средняя нагрузка ГВС, умноженная на значение поля Балансовый коэффициент закр. гвс. Балансовый коэффициент позволяет пользователю регулировать величину нагрузки (и расхода) на которую производится наладка. Если значение поля не задано, то в расчете используется значение коэффициента по умолчанию:
Таблица 18. Балансовый коэфф. ГВС (значения по умолчанию)
|
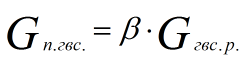
Расход воды на горячее водоснабжение из подающего трубопровода тепловой сети:
Формула 8. Расход на ГВС из подающего

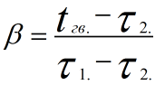
где: β- доля отбора воды из подающего трубопровода, определяемая по формуле:
Формула 9. Доля отбора воды из подающего

Расход воды на горячее водоснабжение из обратного трубопровода тепловой сети:
Формула 10. Расход на ГВС из обратного

Расчетный расход теплоносителя (греющей воды) на систему ГВС для закрытых систем теплоснабжения при параллельной схеме включения подогревателей на систему горячего водоснабжения:
Формула 11. Расход на ГВС 1 контура при параллельной схеме

где: τ1.и.- температура сетевой воды в подающем трубопроводе в точке излома температурного графика,ºС;
τ2.т.и.- температура сетевой воды после подогревателя в точке излома температурного графика (принимается = 30 ºС);
Расчетная нагрузка на ГВС
Формула 12. Расчетная нагрузка на ГВС при наличии баков аккумуляторов

Формула 13. Расчетная нагрузка на ГВС при отсутствии баков аккумуляторов
