Для расчетов схем с теплообменными аппаратами при различных режимах, следует задать параметры теплообменника на какой-то известный режим. Это могут быть как проектные параметры, так и параметры, измеренные при испытании теплообменного аппарата. Назовем эти параметры испытательными.
Для задания теплообменника требуются следующие испытательные параметры:
T11– температура на входе первого
контура;
T12– температура на выходе первого
контура;
T21– температура на входе второго
контура;
T22– температура на выходе второго
контура;
Q– тепловая
нагрузка;
G1– расход первого контура;
G2– расход второго контура.
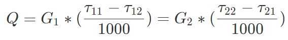
В нашей модели нужно задавать значение Q, хотя измерить достаточно
один из параметров Q,
G1 или
G2, так как

Зная перечисленные параметры для одного режима, можно при любом другом режиме работы теплообменного аппарата по четырем заданным параметрам, используя известные математические зависимости, вычислить для этого режима значения остальных параметров. Например, на графике показано, как изменение расхода в первом контуре влияет на изменение температур на выходе первого и второго контуров.

Используя испытательные параметры теплообменного аппарата, в расчете можно моделировать регулятор температуры, поддерживающий постоянную температуру воды на выходе второго контура при изменении температуры на входе первого контура.
